Articles, opinions and more
Who’s Afraid Of GenAI?
Articles, opinions and more
Who’s Afraid Of GenAI?
Articles, opinions and more
Who’s Afraid Of GenAI?
Picture of Nir Simionovich, CEO

Nir Simionovich, CEO

The following article is intended for people who are interested in understanding how GenAI/LLM works. I am not an AI or LLM expert, what I write is based upon what I've learned myself and how I see these technologies, in order to make good use of these.        
This article was originally published as a Linkedin Article. You may access the original article Here.
Before we begin, I think we need to make a few things clear about GenAI – and what I’m about to say may actually shock you a bit. Most people, even people who deal with GenAI on a day-to-day basis, don’t really understand how it works. Well, we have a good grasp of how it works, but we don’t have a clear understanding of why GenAI responds in certain ways – specifically, we don’t always know why a specific input generated a specific output.

When it comes to Artificial Intelligence, the term "intelligence" is highly overrated.

First of all, in order to understand how Generative AI works exactly, we need to understand how GPTs (Generative Pre-Trained Transformers) actually work. No, this is not going to be an article about neural networks or complex math, this is going be a very simple and down to earth overview of how GPTs work.

Going back to 2001

People may have forgotten, but we already had auto completion of text messages, way back in the feature phone days. Believe or not, those phones were very much capable of “guessing” what we were about to write, and provide us with 3 options to choose from. Our smartphones are far more capable, but, the concept is very much identical.

Back to 2023 - Language Modeling

Now, let’s take the previous concept and apply it to words. Imagine that you take the entire collection of human written knowledge, be it online or offline. Now, imagine that you start going through the data and for each word you find, you build a map of the words that come right after it. For sake of simplicity, we’ll call each of these words a “node”. A “node” will normally include 2 parameters – the word associated with the node and a numerical value, representing the “probability” of that word appears after the previous word. Now, imagine the same process being repeated over and over again, for each word – the result will be an interconnected network of “nodes”, which you can traverse quite easily, assuming you want to learn some “language” statistics.
Image generated using Midjourney
Looking into the diagram above, imagine that each circle represents a “node”. The “node” probability is visible via the color and the size. White is medium probability, Red is high probability – and the higher the probability, the bigger the “node” is. One thing we need to remember – this network is non-directional and potentially, it is also cyclic. It means, that while a “node” that we started the search path from, may reappear in the path later on (that makes things a bit more complex later on).

Calculating Vectors

Now, being able to traverse the network is quite useful – in fact, traversing “node” networks in efficient ways has been a pivotal topic in Computer Science for ages. The faster we can traverse the network, the faster we can reach conclusions and assertions. Now, let us assume that we have 2 statements, an informational one and a query. Here is the informational statement:

Foxes are small to medium-sized, omnivorous mammals belonging to several genera of the family Canidae. They have a flattened skull, upright, triangular ears, a pointed, slightly upturned snout, and a long bushy tail. Twelve species belong to the monophyletic "true fox" group of genus Vulpes.

Let’s assume that we let our language model read the above statement and produce a quantifiable result, representing that statement. Sort of a “black-box”, where you put in a bunch words in one side and you get a number at the other end. However, a single number won’t really help us – so, we’ll output a series of numbers, based upon the probability of each word in the statement. So, our statement includes 45 words, so, our result will include at least 45 values (i’m over simplifying the process). In order to ensure that we have a result that is “robust” enough, we’ll ask our “algorithm” to extend the number of parameters that represent this statement. The extension will include various “attributes” related to the statement. For example, it can classify the statement as “descriptive” or “informational”, so that it is easier for the model to “understand” what the context of the statement is. For modern LLMs, such GPT 3.5 and above, the number of parameters per statement will exceed 1,500 elements. Older models, such as GPT 1 included a small number. Let’s call the set of parameters generated a “vector”. The vector basically provides a “unique fingerprint” for the previously provided statement.

Now, let us assume the following question, that is related to the above statement:

What does a fox look like?

Once you feed the question into the model, the model will perform the same “vector” generation process for the question – and will create a new vector, of the same length (as defined by the LLM), that will represent the question.

The Matching Process

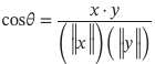
How does the LLM “know” that a specific statement is the answer to a specific question? now, that requires a bit of math. Let’s have a look at the following diagram:
Generated Using Canva
What the language model is trying to assert is to “find” the statement “vector” that is the closest to the question vector. It does so by performing (again, this is not completely accurate, but good enough for base understanding) a simple math assertion (without going neck deep into the math):
1712826289538
https://www.sciencedirect.com/topics/mathematics/angle-between-two-vector
Where “x” and “y” represent two nonzero vectors. So, in order to find the closest match between the two vectors, affectively, we’re looking for the statement vector that will generate a cosine result that is closest to 1. Why is that? very simple, the cosine of 0 is equal to 1 – thus, if the cosine result is 1, the question and the answer match perfectly.

Now, it is of course virtually impossible to have a perfect result, as there is no such thing. This is where the “Pre-Training” part of the model comes in. When the LLM developers build the model, training is performed. Imagine training as a repetitive process, where we “show” the computer thousands of data elements and we tell it that it is a specific thing. We then show the computer something new and ask: “what is it?”. If the response is correct, the new elements is inserted into memory under the same category. If it is not, we correct the computer and insert. This process is know is “human reinforced training or learning” – where a human helps the computer to “classify” and “assert” information better.

In a language model, a similar process happens. We basically feed the LLM thousands of statements, all related to a specific topic and we tell it to classify these. Once every so often we will reinforce the LLM algorithm, but manually asking it a new question and seeing if it’s able to answer correctly. If not, we provide it with the correct answer, based on a full statement, and then continue the learning process and try again later, and so on.

Conclusion

As you may recall, at the start of the article I stated:

When it comes to Artificial Intelligence,
the term "intelligence" is highly overrated.

Hopefully, now you understand a bit better why I say that. There is no real intelligence in understanding or deciphering what people may ask the model. The model is simply a constantly evolving data-set, that is constantly updated and extended. As newer models are built, that contain more and more nodes, that are able to produce longer vectors – and doing so in a timely fashion, the various LLMs will become faster and more capable.

Forward looking

In the next article I’ll dwell into the Generative part of GenAI – or to be more exact, how GPTs are able to generate a response that make sense – and in some cases, is hard to distinguish from a human response. At the same, we’ll discuss the issue with GPT hallucinations – otherwise known as “The overly woke Gemini images” or “ChatGPT thinks eating glass is a good idea”.